next curve previous curve 2D curves 3D curves surfaces fractals polyhedra

BARYCENTRIC CURVE


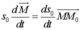
The starting curve being covered by , the barycentric curve is covered by M defined by .
By derivation we get  ; the speed V of M, and the speed   of   therefore have the ratio .

The barycentric curve of a curve (G0) is the locus of the gravity centers of the (homogenous) arcs of the curve, counted from a fixed point.

The relationship  shows that the velocity vector of the gravity center always points towards the point of the starting curve, so that the barycentric curve is a pursuit curve associated with the motion of the starting mobile.

Example: the cochleoid is the barycentric curve of the circle.

Detailed example:

BARYCENTRIC CURVE OF THE LOGARITHMIC SPIRAL, starting from its asymptote point.
 
 
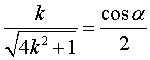
For the starting spiral  :
Cartesian parameterization of the barycentric curve : .
Polar equation in a frame rotated by an angle , où .

Barycentrique, en rouge, de la spirale bleue.

The barycentric curve of the spiral is therefore an equal spiral. Moreover the ratio  is equal to . Being constant, the barycentric is therefore a classic pursuit curve.
 

© Robert FERRÉOL 2025