| next curve | previous curve | 2D curves | 3D curves | surfaces | fractals | polyhedra |
BALLISTIC CURVE
Fixed friction proportional to speed, increasing initial speed, shooting angle of 60° |
|
|
| Curve studied by Jean Bernoulli in 1719, Euler in 1753, Legendre in 1782 and Jacobi in 1842. |
The ballistic curves are the trajectories of a massive point subject to a uniform gravitational field and a fluid friction force, in the opposite direction of the velocity vector, its intensity being proportional to a certain function j(v) of the absolute velocity.
1) When
= 0, we get the parabola.
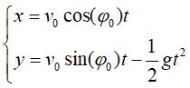
| Differential equation of motion: Paramétrisation cartésienne : Cartesian parametrization : |
![]() |
| Distance from the starting point to the point of impact
on the ground : Height reached : Length of the trajectory : Opposite, view of different shots depending on the starting angle. |
![]() |
2) Case where
=
v (experimentally obtained for a low velocity; this resistance
is called "viscosity")
| (Linear) differential equation of motion: Cartesian parametrization: (initial condition M(0) = 0) with Cartesian equation: Transcendental curve (as opposed to the parabola). |
|
We get curves which, as opposed to the parabolas,
have a vertical asymptote at their right end, and an oblique asymptotic
branch without asymptote, at the left end.
| Opposite, figure composed of the trajectories starting from a fixed point with constant initial speed, shooting angle of 45°, and an increasing friction coefficient. | ![]() |
| Figure composed of the trajectories starting from a fixed
point with given initial speed, along with the envelope
of these trajectories (called safety parabola even though it is not a parabola).
Compare to the case without friction. |
![]() |
Remark: the Cartesian equation of these curves shows that they are the medians of a line and a logarithmic curve, along the asymptote of the logarithmic curve.
3) General case.
| Differential equation of motion: hence |
| Opposite, comparison between 3 ballistic curves, under
the same shooting angle and with the same initial speed:
- in blue, in space
|
![]() |

| next curve | previous curve | 2D curves | 3D curves | surfaces | fractals | polyhedra |
© Robert FERRÉOL 2017