| courbe suivante | courbe précédente | courbes 2D | courbes 3D | surfaces | fractals | polyèdres |
COURBE DE WATT
Watt curve,
Wattsche Kurve

| Courbe étudiée par Watt en 1784.
James Watt (1736 - 1819) : ingénieur et mécanicien écossais (celui des kilowatts...). Autres noms : lemniscoïde, courbe à longue inflexion. |
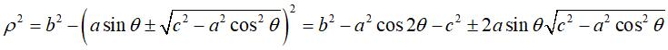
| Paramétrisation polaire : on a Équation polaire : Équation polaire lorsque a = c : Équation cartésienne de |
Une courbe de Watt est le lieu du milieu de la bielle [PQ] d'un quadrilatère articulé (APQB) vérifiant AP = BQ , A et B étant fixes - c'est donc un cas particulier de courbe du trois-barres à manivelles de même longueur ; ici, A(0, a), B(0, –a), AP = BQ = b, PQ =2c.

Autrement dit, une courbe de Watt est le lieu du milieu d'un segment de longueur constante joignant deux cercles de même rayon (les cercles (CA) et (CB) de centres A et B et de rayon b) ; penser par exemple au milieu d'une bielle joignant deux roues.
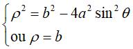
La courbe est non vide ssi .
| La courbe passe par O ssi a, b,
c
sont les côtés d'un triangle, c'est-à-dire Si l'on cherche les points où les tangentes en O recoupent la courbe, on trouve que ces points sont confondus avec O (autrement dit, que le contact est d'ordre deux) lorsque Watt qui recherchait pour les mécanismes des machines
à vapeur à obtenir un mouvement le plus rectiligne possible
a construit son mécanisme dans ce dernier cas, qui présente
de plus l'intérêt que si les deux barres AP et BQ
sont horizontales au passage de M en O, la barre QP
est verticale.
|
|
|
Lorsque la bielle [PQ] a même longueur que
la barre fixe [AB] (c = a) , la courbe se décompose
en la réunion du cercle (O, b) (cas où (APQB)
est un parallélogramme), et d'une courbe
de Booth ; on obtient un ovale si b > 2a , deux cercles
si b = 2a (cas où le quadrilatère est un carré),
une lemniscate si b < 2a, qui est de
Bernoulli quand
.
NB : dans les animations ci dessous, P parcourt
(CA) à vitesse constante, ce qui provoque des
saccades sur le parcours de Q sur (CB).
cas a = c < b/2 : ovale de Booth + cercle |
cas a = c = b/2 : trois cercles; pour les deux petits cercles rouge, le quadrilatère articulé est entièrement replié sur lui-même |
cas a = c > b/2 : lemniscate de Booth + cercle |
D'une façon générale, le passage
par O est obtenu pour ,
formule donnant aussi les angles polaires des tangentes correspondantes.
On remarque que si d = 0, soit
,
les deux tangentes sont alors confondues.
Dans le cas
les courbes prennent donc les formes suivantes :
b > a + c et c < 2a : courbe ayant deux composantes |
|
|a-b| < c < a : huit vertical |
courbe à trois croisements. |
|
|
| Le principe de triple
génération des courbes du trois-barres s'applique aux
courbes de Watt.
Dans la figure ci-contre, le point P' est tel que AP'MP est un parallélogramme, et Q" est tel que BQMQ" est un parallélogramme. Le trois-barres normal (en rouge) est APQB, mais la même courbe est obtenue par le trois-barres AP'Q'O (en vert) et le trois-barres OP"Q"B (en bleu) ; cette fois, Q' est le milieu de [P'M], et P" est le milieu de [Q"M]. |
![]() |
|
Dans le cas où la courbe a deux composantes connexes,
les 2 points d'intersections avec l'axe de symétrie médians
ont une courbure nulle si ;
dans le cas a = 2 ,
c = 1 on a b =
;
l'approximation avec une droite est alors meilleure qu'avec le dispositif
de Watt.
Mécanisme ou "cheval" de Tchébychef. AB = 4, AP = BQ = 5, PQ = 2, M milieu de [PQ] |
|
Scie utilisant le mécanisme de Tchebycheff Voir sur ce site russe, de belles animations du mécanisme de Tchébychev. |
Mais voici ce que devient la partie pseudo-rectiligne après élongation des ordonnées :
![]()
Voir aussi le mécanisme de Roberts à courbe
du trois-barres.
Un mouvement mathématiquement rectiligne obtenu
par système articulé nécessite au moins 5 barres mobiles
et est obtenu en particulier avec le mécanisme
de Hart, ou l'inverseur
de Peaucellier.
| courbe suivante | courbe précédente | courbes 2D | courbes 3D | surfaces | fractals | polyèdres |
© Robert FERRÉOL 2021