| courbe suivante | courbe précédente | courbes 2D | courbes 3D | surfaces | fractals | polyèdres |
COURBE BALISTIQUE
Ballistic
curve, ballistische Kurve
Frottement fixé propportionnel à la vitesse, vitesse initiale croissante, angle de tir de 60° |
|
|
| Courbe étudiée par Jean Bernoulli en 1719,
Euler en 1753, Legendre en 1782 et Jacobi en 1842.
Autre nom : parabole amortie. |
Les courbes balistiques, sont les trajectoires d'un point
matériel soumis à un champ de pesanteur uniforme et à
une force de frottement fluide, dirigée en sens contraire du vecteur-vitesse,
et d'intensité proportionnelle à une certaine fonction
de la vitesse absolue.
1) Lorsque
= 0, on obtient la parabole.
| Équation différentielle du mouvement : Paramétrisation cartésienne : Équation cartésienne : |
![]() |
|
| Distance du point de départ au point d'impact
au sol : Hauteur atteinte : Longueur de la trajectoire : Longueur maximale pour Ci-contre vue de différents tirs en fonction de l'angle de départ. |
La courbe rouge est la plus longue. |
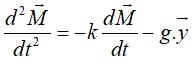
2) Cas où
= v (obtenu expérimentalement pour une vitesse faible
; le frottement est dit "visqueux")
| Équation différentielle du mouvement (linéaire)
: k > 0 coefficient de résistence, g accélération de la pesanteur. Paramétrisation cartésienne : avec Équation cartésienne : Courbe transcendante (au contraire de la parabole). |
|
On obtient des courbes ayant, contrairement aux paraboles,
une asymptote verticale à l'extrémité droite, et une
direction asymptotique oblique sans asymptote, à l'extrémité
gauche.
| Ci-contre, figure formée par les trajectoires issues d'un point fixe avec une vitesse initiale constante, un angle de tir de 45° et un coefficient de frottement croissant. | ![]() |
| Figure formée par les trajectoires issues d'un
point fixe avec une vitesse initiale donnée, avec l'enveloppe
de ces trajectoires (appelée parabole de tir, bien que ce ne soit
pas une parabole).
Comparer avec le cas sans frottement |
![]() |
Remarque : l'équation cartésienne de ces courbes montre que ce sont les médianes d'une droite et d'une logarithmique, parallèlement à l'asymptote de la logarithmique.
3) Cas général.
| Équation différentielle du mouvement : d'où : |
| Ci-contre, comparaison entre 3 courbes balistiques, pour
un même angle de tir et une même vitesse initiaux :
- en bleu dans le vide
|
![]() |

| courbe suivante | courbe précédente | courbes 2D | courbes 3D | surfaces | fractals | polyèdres |
© Robert FERRÉOL 2025