| surface suivante | surface précédente | courbes 2D | courbes 3D | surfaces | fractals | polyèdres |
CÔNE DE RÉVOLUTION
Cone
of revolution, Drehkegel

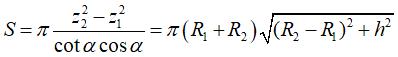
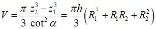
| En notant Équation cylindrique : Équation cartésienne : . Paramétrisation cartésienne : Paramétrisation à partir des coordonnées polaires Première forme quadratique fondamentale : Elément d'aire : Deuxième forme quadratique fondamentale : Rayons de courbures principaux : Le cône droit de directrices Ox et Oy et d'axe la droite y = x, z = 0 a pour équation cartésienne : Le cône de directrices Ox Oy et Oz et d'axe la droite x = y = z a pour équation cartésienne : xy + yz + zx = 0 (l'angle au sommet vaut arccos (-1/3) » 109 ° 28 ') Volume d'un tronc de cône limité par un sommet, de base de rayon R et de hauteur h : Aire correspondante : |
| Autre paramétrisation : |
![]() |
| Volume du tronc de cône limité par les plans Aire de ce tronc de cône : |
![]() |
| On peut développer
le cône en faisant correspondre à un point M du cône
le point du plan de coordonnées polaires En particulier le demi-cône de demi-angle au sommet |
![]() |
Courbes remarquables tracées sur le cône
de révolution :
| - à tout seigneur, tout honneur : les sections
planes ou coniques : ellipses,
paraboles et hyperboles. Elles se développent en les polygastéroïdes
d'indice n >1.
La coupe par le plan Ci-contre, le cas |
![]() ![]() |
| - les lignes de courbure, qui sont les parallèles (cercles) et les méridiennes (droites) |
![]() |
| - les géodésiques,
qui sont les courbes qui se développent en des droites ; il y a
les génératrices et les courbes d’équation sphérique
: |
![]() ![]() |
| - les cercles
géodésiques, qui se développent en des cercles.
Équation sphérique dans le cas des cercles passant par O : |
![]() |
| - les hélices, qui sont aussi les loxodromies ; ce sont des relèvements de spirales logarithmiques : voir hélice conique. |
|
| - les spirales coniques de Pappus, relèvements de spirales d'Archimède. |
![]() |
| - les spirales coniques hyperboliques. |
![]() |
| - les rosaces coniques, dont la courbe de Viviani. |
|
| - les chaînettes coniques. |
![]() |
Voir aussi les cycloïdes sphériques, lieux d'un point d'un cone de révolution roulant sans glisser sur un autre cone de révolution, ainsi que les ovales de Descartes, projections de l'intersection de deux cônes de révolution d'axes parallèles.
Des cônes dans la nature :
|
|
|
![]() |
|
Et ailleurs :
![]() |
![]() |
![]() |
|
| surface suivante | surface précédente | courbes 2D | courbes 3D | surfaces | fractals | polyèdres |
© Robert FERRÉOL 2018